
对很多打工人来说,连轴转了好几天,经历了漫长的、忙到昏天黑地的打工day之后,好不容易盼来一个可以喘口气的周末,大概只有「睡到自然醒」这一个念头。尤其是天气一冷,被窝仿佛自带「封印术」,一钻进去就不想再出来,哪怕躺上24小时也不嫌多。
但一直以来,关于周末补觉的讨论都很分裂:有人说这能帮助打工人「充电回血」,也有人这是在打乱生物钟、慢性伤身。
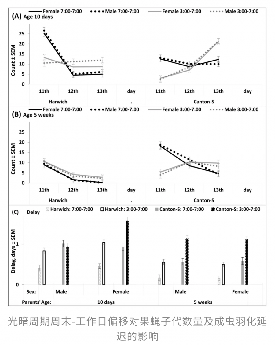
周末补觉或能延长寿命 但「规律」才是长寿的真门道
就在这种争论中,一项发表在Nature and Science of Sleep的研究[1]给出了一个让人「心安理得周末补觉」的答案。研究者用果蝇模拟了「工作日早起、周末赖床」的生活节律,也就是在工作日维持正常光暗周期,而在「周末」人为制造4小时的光照节律偏移,相当于让生物钟整体向后推。
结果发现,这种「模拟周末补觉」的光照节律变化,不仅没有缩短果蝇寿命,反而让它们活得更久。在Canton-S品系中,果蝇寿命平均延长约6%;而在Harwich品系中,寿命延长幅度更是达到12.4%。

要说起来,现代「牛马」们之间的作息还是很不一样的。面对早起这件事,打工人其实分成了两种截然不同的「应对流派」。
一种是自我管理型选手:既然闹铃已经把人从床上拽起来,那晚上就得提前关灯,用早睡来对冲早起,力求每天的睡眠时长尽量稳定。哪怕到了周末,他们顶多也就是比平时多赖一会儿床。
另一种是及时行乐选手:早起上班已经够苦了,下班之后当然要好好犒劳自己。于是,他们在不耽误早起的同时,也绝不放过熬夜。等周末一到,闹铃消失,这类人往往直接开启「报复性」睡眠模式,他们睡得更晚、起得更晚,睡眠时间也随之明显拉长。
这两种生活方式,看起来都在「熬」,但本质并不一样。前一种人,每天睡多久其实差不多,只是作息整体被迫往前或往后挪;后一种人,才是真正意义上的「补觉型选手」,周末靠拉长睡眠时间来偿还一周的睡眠债。
为了把这两种情况区分开来,研究者提出了「社交时差」的概念。它是指,一天中白天和黑夜的长度没变,只是作息被整体提前或延后。
事实上,不少研究认为,反复的生物钟错位叠加睡眠债,可能会慢慢侵蚀健康,甚至加速衰老。不过,真正「伤人」的究竟是什么?是单纯的睡眠不足?还是这种来回折腾的作息切换本身?在真实的人类生活中,这两者几乎是捆绑出现的,很难被拆分开来单独研究。

可见,实验模拟的是我们打工人的真实困境:工作日被迫早起(比如7点起床通勤),但周末可以自然醒(比如11点)。 这中间就有好几个小时的「社交时差」。
分析结果表明,方案一中,只有健康状况较好的Canton-S品系果蝇表现出明显获益。

而在方案二中,延寿效应更为普遍,两种品系的果蝇都收获了「长寿红利」。

这意味着,这种固定的「社交时差」不仅没害处,反而可能延长寿命。再回到之前困扰大家许久的问题:究竟是睡眠不足本身更伤人,还是这种每周的节律来回切换更致命?现在不难发现,一个固定、可预测的作息模式(哪怕周中和周末不一样),身体也能适应得很好,甚至把它当成一种有益的作息方式。
说到底,长寿的门道正是在于「规律」二字。如果你工作日必须7点起,周末可以浅浅补个觉,试着让周末的起床时间也相对固定(比如9点),而不是一觉睡到下午。工作日不得不早起打工,睡眠不足的牛马们这下可以稍稍安心了,周末多睡会儿也不失为一种好方法(但绝没有鼓励大家晚上疯狂熬夜,全靠周末找补的意思)。

当然,延寿并不是没有任何代价的。在方案一中,果蝇们的繁殖能力没有受到明显影响;但在方案二下,随着节律干预幅度加大,两种品系的果蝇就开始发育变慢,羽化也推迟了。
更为直白地说,如果只看成虫阶段的寿命,健康的果蝇通过周末补觉就能轻松收获「延寿红利」;但对于体质稍弱的果蝇而言,可就得十分小心了:平时保证睡眠充足,是周末补觉能够真正延寿的前提。

周末补觉,抑郁风险降低41%
太好了!打工人表示:“可算让我找到理由周末补觉了。平时睡不够,累就不说了,还会让人变得特别emo。”
近期,来自美国纽约州立大学等机构的研究团队发表于Journal of Affective Disorders的一项最新研究[2]就发现,在青少年和年轻成年人中,周末补觉与每日抑郁风险降低41%相关。但持续维持良好的作息对减轻抑郁症状的益处大约是周末补觉的两倍。

不过,研究也强调,真正的长久之计还是得靠平日作息。

可以说,周末偶尔多睡一会儿可以救急,但要让心情真正稳稳当当,平日的睡眠习惯才是关键。
周末补觉只适合真缺觉的人,心血管疾病风险降低70%
不仅是情绪,心血管健康同样得益于「周末补觉」这件事。
此前,来自南京医科大学的研究团队发表于Sleep Health的一项研究[3]表明,周末补觉,并非一刀切地有益或有害,关键要看工作日到底缺不缺觉。

但反过来,如果工作日本就能睡够(比如7–8小时),周末再「硬补觉」,效果就不那么友好了,甚至可能对心血管健康产生负面影响。
从机制上来说,长期睡眠不足会促使促炎细胞因子和多种炎症标志物大量产生,使机体处于慢性炎症状态;而在确实「欠睡」的前提下,周末补觉可以帮助降低血液中的炎症水平,对心血管系统起到一定的保护作用。
所以,如果平时有条件保证充足且规律的睡眠,那自然是最好的。但如果工作日的睡眠时长被挤压到不足6小时,那么周末多睡上2小时,就不只是贪恋被窝的温暖,而是身体一次有效的「能量校准」。它让我们在紧绷的节奏后得以缓冲,以更有活力的状态,迎接新一周的挑战。
注:研究[1]基于果蝇模型,在人类中的普适性仍需进一步验证,并且未深入探究观察到的有益效应背后的分子和生理机制;研究[2]和研究[3]主要基于观察性数据,无法直接推断因果关系。
参考资料:
[1]Zakharenko LP, Petrovskii DV, Putilov AA. Weekday-Weekend Shifts of Light/Dark Regimen Extend Sleep and Lifespan ofDrosophila melanogaster. Nat Sci Sleep. 2025 Dec 24;17:3193-3206. doi: 10.2147/NSS.S559744. PMID: 41467172; PMCID: PMC12744869.
[2]Carbone JT, Casement MD. Weekend catch-up sleep and depressive symptoms in late adolescence and young adulthood: Results from the National Health and Nutrition Examination Survey. J Affect Disord. 2026 Feb 1;394(Pt B):120613. doi: 10.1016/j.jad.2025.120613. Epub 2025 Nov 3. PMID: 41192734.
[3]Zhu H, Qin S, Wu M. Association between weekend catch-up sleep and cardiovascular disease: Evidence from the National Health and Nutrition Examination Surveys 2017-2018. Sleep Health. 2024 Feb;10(1):98-103. doi: 10.1016/j.sleh.2023.09.006. Epub 2023 Nov 23. PMID: 38000943.
原标题:平时熬夜,周末补觉寿命延长超12%?最新研究:熬夜欠的“睡眠债”,周末能还!不仅心血管疾病风险降70%,抑郁风险还降41%
本文作者:木白,转载于微信公众号:梅斯医学(ID:MedSci_cn),转载引用请注明原出处